カミクの壁紙

12 24

2 2 4 4 Tetrametil 1 3 Ciclobutanodiol Wikipedia La

Math Primary 4 Fraction

Graphing Parabolas

Equivalent Fractions Year 3 Fractions

Equivalent Fractions

Example 33 Use Product To Solve X Y 2z 1 2y 3z 1 3x 2y 4z 2

It is one of the three isomers of trimethylbenzene.

12 24. I have a residential concrete specification that calls for a 124 concrete mix. 2 consider it pure joy my brothers and sisters whenever you face trials of many kinds 3 because you know that the testing of your faith produces perseverance. Supports windows xp or later.

4 let perseverance finish its work so that you may be mature and complete not lacking anything. 124 trimethylbenzene also known as pseudocumene is an organic compound with the chemical formula c 6 h 3 ch 3 3classified as an aromatic hydrocarbon it is a flammable colorless liquid with a strong odorit is nearly insoluble in water but soluble in organic solvents. There is strife and conflict abounds.

You can immediately include everyone regardless of how large the group is. In mathematics 1 2 4 8 is the infinite series whose terms are the successive powers of twoas a geometric series it is characterized by its first term 1 and its common ratio 2as a series of real numbers it diverges to infinity so in the usual sense it has no sumin a much broader sense the series is associated with another value besides namely 1 which is the limit. Why do you tolerate wrongdoing.

It is mainly used as intermediate in dyes pesticides and also as a lubricant. It occurs naturally in coal tar and petroleum about 3. Ultravnc 1224 distribution for 32 bit operating systems.

The wicked hem in the righteous so that. Therefore the law is paralyzed and justice never prevails. Why do you make me look at injustice.

What does that mean. Or cry out to you violence but you do not save. Destruction and violence are before me.

This release is not backward compatible server owners will need to update the script and players will need to update the ts plugin. James 12 4 new international version niv trials and temptations. 1248 declaration of vitamins and minerals where a vitamin or mineral is added to a food the vitamin or mineral may be declared in accordance with section 1247 using the class name vitamin or mineral.

This is a little used method for showing the amount of cement sand and coarse aggregate in the concrete. Dimethylketene β lactone dimer from tetramethyl 13 cyclobuta nedione. You can generate better ideas and more of them faster than ever before.

Ultravnc 1224 x86 setup. Gnugpl 2019 03 14 english windows 169567. Pr 8 by mkafrin optimize distance calculation a.

Habakkuks complaint how long lord must i call for help but you do not listen.

Tebakan Mudah 1 3 5 2 4 Jika 6 Bukan Jawaban Ayo Apa

Fifa 19 Formations Guide For Fifa 19 Ultimate Team

How To Solve 1 2 1 4 Step Wise Quora

More On 1 2 And 1 4 Additions To Dienes Master Organic Chemistry

1 2 4 Trichlorobenzene Anhydrous 99 C6h3cl3 1 2 4 Tcb

Fraction Sorting Cards 1 2 1 4 1 8 2 4 2 2 4 4 Tpt

Pembagian Pecahan1 2 4 8 3 1 3 4 1 2 2 4 5 6 2 4 8

What Is An Equivalent Fraction Of 5 8 Example

Solve A Linear Equation 2 3x 1 2 4 3 4x 2 Youtube

Solved Suppose That The Following Relations Are Defined O

Example 33 Use Product To Solve X Y 2z 1 2y 3z 1 3x 2y 4z 2

1 2 4 5 Tetramethylbenzene 98 Durene Sigma Aldrich

4 2 3 1 Soccer Formation

Intro To Combining Functions Article Khan Academy

Jual Klem Selang 2 1 4 Stainless Steel Jakarta Utara Dwn

Rd Sharma Solutions For Class 8 Chapter 1 Rational Numbers

Counting Sort Geeksforgeeks

Tentukan Pecahan Yang Senilai Dengan 2 4 Urutkan Pecahan Berikut

Simplifying Fractions Chilimath

Diketahui Segitiga Abc Dengan A 4 7 3 B 1 4 3 Dan C 3 2

Making Equivalent Fractions Ppt Video Online Download

Ex 3 4 2 Find Common Factors Of A 4 8 And 12 B 5 15 And 25

Contoh Notasi Sigma2

Fraction Math How To Do Fractions For Beginners

Hasil Dari 2 2 3 X 1 1 2 4 5 Adalah Brainly Co Id

11 A 1 2 Exchanger Showing Pass Partition Plate B 2 4

2 4 Dinitrotoluene Wikipedia

Balanced Base N Grams Systems Talk

Notasi Sigma Materi Lengkap Matematika

1 2 3 4 4 3 2 4 5 4 15 3 2 9 3 1 3 4 3 9 1 2 5

Berapa Hasil Dari 1 5 X 1 2 2 4 Terima Kasih Brainly Co Id

Adding And Subtracting Fractions Ppt Video Online Download

Jual Baut Mur Inchi 7 16 X2 1 2 14tpi Stainless Steel Baut

Isi Pakai Cara Ya Kak A 3 2 4 1 1 8 B 4 4 6 2 5 12

Graph Equations With Step By Step Math Problem Solver

Everyday Math Grade 4 Lesson 7 7 Equivalent Fractions Ppt

Kerjakan Soal Di Bawah Ini 1 2 2 Per 1 5 4 Per 2 2 4 3

Fractions Multiplying And Dividing Fractions

Liberating Structures 1 1 2 4 All

Pipa Stainless Kilap Ss 201 2 1 2 Inch X 0 8 Mm X 6m Sutindo

Math Love The 5 4 3 2 1 Challenge From Will Shortz And Npr

1 2 4 Triazole 98 Sigma Aldrich

Jual Pipa Pvc 1 2 Inch 4 Meter Aw Abu Abu Pipamas Blanja Com

How To Cut Down Recipes Taste Of Home

Synthesis Characterization And Antifungal Activity Of Some

James 1 2 4 Bible Verse For Stress Bible Verse Images

Page 139 Gemar Belajar Matetika 5

Examples Of Denumerable Sets

Investigating Equivalent Fractions In Context 4 Alamandamaths

Graph Equations System Of Equations With Step By Step Math

1 2 4 8 Wikipedia

The A M Of The Series 1 2 4 8 16 2 N Is Youtube

Horizontal Dividing By 1 2 5 And 10 Quotients 1 To 12 A

Menentukan Banyaknya Himpunan Bagian Matematika Smp Lengkap

Int 2 2 X 3cos X 2 1 2 Sqrt 4 X 2 Dx

6 8 1 1 2 4 5 2 2 3 4 9 1 1 3 1 4 8 5 6 10 11

1 2 4 Triazole C2h3n3 Pubchem

Equal Fractions Fractions With Mr Mac

Maths Puzzle 1 2 2 4 6 7 7 8 9 Puzzlersworld Com

Pythagoras Theorem Reminder Of Square Numbers 1 2 1 X 1 2 X

Prove For All N N 1 2 3 2 5 2 2n 1 2 Frac 4n 3 N 3

Recent Advances Bioactive 1 2 4 Triazole 3 Thiones Sciencedirect

Simplify 16 X 2 N 1 4 X 2 N 16 X 2 N 2 2 X 2 N 2 Sarthaks

James 1 2 4 Consider It Pure Joy My Brothers Whenever You Face

Solved Question 13 Find The Indicated Probability If Two

Best Formations For 9v9 The Mastermind

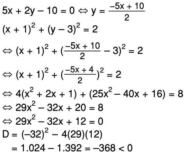
Tentukan Kedudukan Garis Terhadap Linkaran Berikut G 5x 2y

In This Series Of 1 2 3 4 4 6 7 8 9 10 16 12 13 What

1 2 4 Triazole An Overview Sciencedirect Topics

Tentukan Pecahan Yang Senilai Dengan 2 4 Soal Tvri Sd Kelas 1 3

A000079 Oeis

What Is The Summation Of 2 4 8 16 1024 Mathematics Stack

Cara Menjumlahkan Pecahan Campuran 11 Langkah Dengan Gambar

1 2 4 Benzenetriol Reagentplus 99 Hydroxyhydroquinone Sigma

Class 3 Fraction Tutorials And Worksheets

What Is The Name For The Pattern 1 2 4 8 16 What Is The Formula

Jual Micro Nano Bubble Generator Ng3 Kapasitas 1 2 2 4 M3 Jam

1 2 3 4 Wikipedia

In The Sequence 1 2 2 4 4 4 4 8 8 8 8 8 8 8 8 Where N

Find The Sum To N Terms 1 2 3 4 7 8 15 16 Youtube

1 1 4 2 3 4 5 2 2 5 4 6 3 10 3 6 8 1 1 2 4 5

Fractions Adding And Subtracting Fractions

Math Primary 4 Fraction

More On 1 2 And 1 4 Additions To Dienes Master Organic Chemistry

Solution Graph X 3 2 Y 1 2 4 Y 2 2 4 4 1 X 1 X 2 2 9

Solved The Relations R 1 4 2 2 3 2 3 3

Grosir Fitting Penyambung Pipa Vsock 2 1 2 X 1 1 2 Inch D

Cara Mengurangi Pecahan 11 Langkah Dengan Gambar Wikihow

No 1 2 3 5 4 No 2 2 4 3 8 No 3 5 4 5 2 3 No 4 4 3 Di Kali 2 2

4 Amino 1 2 4 Triazole C2h4n4 Pubchem

Illustrative Mathematics

Adding And Subtracting Functions Article Khan Academy

Patterns In Graphs

Introduction To Fraction Concepts Methods Formulae Videos