カミクの壁紙

Match Overview Kettering Hockey Club 3rds 1 4 Daventry Ladies

Modelo 4 1 Vistas De Kruchten

B2b Marketing The 4 1 1 Rule In Lead Nurturing Salesdinamico

Daftar Harga Pipa Pvc Trilliun Basic Pt Abadi Metal Utama

Yang Mana Besar 1 2 Atau 3 4 Jelaskan Penjelasan Mu Brainly Co Id

Menghitung Varian Dan Standar Deviasi Secara Manual

Jntuk B Tech 4 1 Results 2020 Regular Supply R16 R13 R10

1 1 1 2 1 2 3 1 3 4 1 4 5 1 5 6 1 48 49 1 49 50

15 Soal Alat Optik Pilihan Ganda Dan Jawaban Pembahasan

Quia Reading A Ruler By Eighths

Conversion Tables Chef In Disguise

Jaring Jaring Kubus Gambar Pola Cara Membuat Contoh

4 1 Dia De Los Inocentes Globos De Colores Payaso Lindo Decoracion

Numerical Fraction 4 1 Clipart Etc

Cara Menghitung Jangkauan Range Rata Rata Simpangan Simpangan

Sistem Tanam Padi Jajar Legowo Kampustani Com

Multiplexers In Digital Logic Geeksforgeeks

Bagaimana Wajah Inter Milan Setelah Eriksen Resmi Bergabung

4 1 Architecture Models Bpmflow

Wclc Lotto 6 49

Siapa Negara Pemberi Utang Ke Indonesia No 1 Bukan China

1 3 4 1 3 4 1 5 6 1 3 4 Brainly Co Id

Manjaro Downloads

Cara Membuat Daftar Isi Otomatis Pada Microsoft Office Word

Gpib Petra Jakarta Dan Orang Akan Datang Dari Timur Dan Barat

Detailed Software Design Using 4 1 Views Tech Blog

Dari 4 3 3 Hingga 4 3 1 2 Metamorfosis Taktik Barcelona Musim Ini

Tentukan Hasil Dari 5 1 Per 4 1 2 Per 3 2 1 Per 5 Brainly Co Id

6 Jenis Formasi Sepakbola Terbaik Yang Digunakan Tim Besar

10 Major Differences Bluetooth 5 Vs 4 2 Feature Comparisons

Ronaldo Scores From Free Kick As Juventus Beats Torino 4 1 Whiz News

What Is 1 4 Plus 1 4 Quora

4 1 Score Stock Photo Image Of Pitch Score Meadow 115727282

How To Cut Down Recipes Taste Of Home

Channel 4 1 Freeview

Discover The Flat Plans Avrupa Konutlari Basaksehir

Solved Question Two Add And If Possible Simplify 3 5

Http Www Kpud Magelangkota Go Id Download C 9 F Mjaxodexmjixmjiwmtqucgrm

Understanding Equivalent Fractions

Cara Menjumlahkan Pecahan Campuran 11 Langkah Dengan Gambar

Rumus Peluang Matematika Dan Contoh Soal Peluang

Tpiuoh8nvqzxim

4 1 Architectural View Model Wikipedia

Orange Comminuted 4 1 Manufacturer And Supplier

Multiplexers In Digital Logic Geeksforgeeks

Macam Macam Formasi Sepak Bola Dan Penjelasannya Lengkap

Pipa Pvc Sni Mulai Dari Tipe Kelas Jenis Dan Cara Pemasangannya

Sepeda United Detroit 4 1 Ukuran 27 5 Inci Untuk Remaja Dan Dewasa

Jaring Jaring Kubus Download

1 2 1 4 1 8 1 16 Wikipedia

Geometric Series Wikipedia

Hasil Dari 3 8 2 1 5 1 2 1 1 4 Dari Jika Di Nyatakan Dalam Bentuk

Apple Releases Ios 13 4 1 Surprise Update With Important Fixes

Hitunglah Penjumlahan Pecahan 1 1 2 1 2 3 1 3 4 1 4 5 1 5

Only 1 In 1000 Can Solve The Viral 1 4 5 Puzzle The Correct

15 Formasi Sepak Bola Lengkap Olahragapedia Com

Harga Pipa Pvc Paralon Wavin Dll Terbaru Agustus 2020

Quia Reading A Ruler By Eighths

Demultiplexer Demux

Fifa 20 Best Formation 5 Great Tried And Tested Systems Explained

Spoof Beer Ad Mocks England Footie Flops The Register

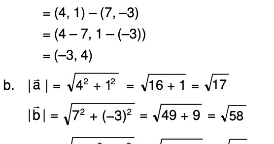
Diketahui Vektor A 4 1 Dan B 7 3 Tentukan Mas Dayat

Silabus Dan Rpp Kelas 4 Kurikulum 2013 Tahun 2017 2018

Park Oran Evleri 4 1 Daire Kat Planlari Kat Ve Daire Planlari

Elips Materi Lengkap Matematika

How To Read A Ruler Inch Calculator

Has Anyone Used 4 1 Architectural View Model What Is Your

Padi Sistem Tanam Jajar Legowo Dinas Pangan Dan Pertanian

Berapa Hasil Penjumlahan Dari 1 3 4 1 2 5 6 2 6 2 8 2 1 2

About Microbiology Cas Miami University

15 Formasi Sepak Bola Lengkap Olahragapedia Com

The Grudge 2020 Imdb

Array Satu Dimensi C Lengkap Contoh Program Dan Penjelasan

16 To 20 Tables Chart Trinity

Aspect Ratio Calculator 4 3 16 9 21 9 Ratio Calculator

4 1 2 Film Videos Facebook

Ncert Solutions For Class 12 Maths Chapter 4 Determinants Free Pdf

Pola Bilangan Dan Rumus Un Suatu Pola Bilangan Idschool

Formasi Fifa 20 Terbaik 4 Sistem Yang Perlu Anda Coba

Bayern Munchen Vs Chelsea 4 1 Kehebatan Lewandowski Dan 4 Fakta

Hasil Dari 3 1 4 2 3 4 2 1 2 Adalah Youtube

1 4 Das Viertel In Bremen Home Facebook

Pascal S Triangle

4 1 Architectural View Model Wikipedia

Contoh Soal Koordinat Kartesius Sd 2 Idschool

Only 1 In 1000 Can Solve The Viral 1 4 5 Puzzle The Correct

Photo Of The Day 4 1 12

Sistem Tanam Jajar Legowo Tekmanas Stpp 2012 Gowa

Cafe 4 1 Photos Facebook

Contoh Soal Faktorial Dan Jawaban Pembahasan

10 Gambar Tabel Perkalian 1 Sampai 10 Gambar Top 10

Lumber Sizes Explained Howe Lumber East Brookfield Ma

Accelerated 4 1 Programs School Of Biological And Health Systems

Ncert Solutions For Class 12 Maths Chapter 4 Determinants In Pdf Form

Find The Angle Between The Following Pairs Of Line X 1 3 Y 1

Number Puzzle 191 Puzzlersworld Com

Kettering Hockey Club Ladies 3rd Xi News

Adapter Fitting Pipa 1 4 Inci Npt Male Ke 1 2 Inci Npt Female

Tutorial Bootstrap 4 27 Navbar Bootstrap 4 Malas Ngoding

If A 2 3 1 1 2 2 3 1 1 Find A 1 And Hence