カミクの壁紙

Rd Sharma Solutions For Class 10 Chapter 4 Triangles Exercise 4 2

Skala Sebuah Peta 1 1 500 000 Dan Jarak Kota A Dan B Pada Peta

Aplique Cenoura Da Pascoa Em Eva 6 Cm 100 Unidades R 33 00

Cacing Sepanjang 7 6 Cm Hidup Di Dalam Ginjal Manusia Dream Co Id

Scale Drawings Video Geometry Khan Academy

Rumus Luas Segitiga Dan Keliling Segitiga Lengkap Contoh Soalnya

Doreenbeads Copper Head Pins Findings Antique Bronze 6cm Long 0 6

Construct An Equilateral Triangle With One Side 6 Cm From

Contoh Soal Bangun Ruang Dan Jawaban Pembahasan

Pressure Triggering In A Patient With Intrinsic Positive End

Roof Tiles And Slates Grass Block 6 Cm Cisangkan Oleh Pt Cisangkan

Balok Klmn Pqrs Mempunyai Panjang Kl 6 Cm Lm 3 Cm Dan Mn 2

Blink Activity Blinklearning

Ex 11 2 2 Construct A Tangent To Circle Of Radius 4 Cm From Point

Spon Ati Spon Eva Ukuran Big Top Jumbo Tebal 6 Cm Uk 270 X 170

Diketahui Segitiga Abc Siku Siku Di B Jika Sudut A 30 Derajat

Contoh Soal Skala Beserta Penjelasannya Dan Kunci Jawabannya

Draw A Circle Of Radius 6 Cm Measure The Diameter And Verify That

Cara Memilih Ukuran Jam Tangan Sesuai Pergelangan Tangan Info

The Sides Of A Quadrilateral Abcd Are 6 Cm 8 Cm 12 Cm And 14 Cm

Figure Tumor Sizes Are Often Measured Pdq Cancer

Mikroskop A Mempunyai Panjang Tabung 10 Cm Jika Mata Kita

3 Cara Untuk Mengukur Milimeter Wikihow

Jual Stiker Label Online Shop Uk 9 X 6 Cm Label A Kab

Ayo Bisa Cod Saringan Teh Saringan Bumbu Tea Ball Stainless Steel

Cervix Dilation Chart Stages Of Labor

Jika Ab 6 Cm Bc 8 Cm Ao 5 Cm Dan Sudut Aob 40 I Cd

Ex 12 3 4 A Circular Arc Of Radius 6 Cm Has Been Drawn

Rd Sharma Solutions For Class 10 Chapter 4 Triangles Exercise 4 2

How Long Is 6 Cm

Ex 11 2 6 Let Abc Be A Right Triangle Ab 6 Cm Bc 8 Cm B 90

Ex 11 1 2 Construct A Triangle Of Sides 4 Cm 5 Cm And 6 Cm

Jual Ring Gantungan Kunci Bulat Tanpa Pengait Polos 03 1 6 Cm

Netpot Hidroponik Multi Diameter 4 Cm 5 Cm 6 Cm Agnis Lazada

Ab And Ac Are Two Tangents Of Circles Whose Radius Is 6 Cm If The

Menentukan Luas Permukaan Limas Mikirbae Com

2018 Grosir 6 Cm Murah Kustom Kayu Buatan Telur Paskah Untuk Decor

Bandung Digital Learning

Diketahui Segitiga Abc Siku Siku Di B Jika Sudut A 30 Derajat

Circles Inscribed In Squares

6 Centimeters To Inches Converter 6 Cm To In Converter

Persegi Panjang Yang Panjangnya 9 Cm Memiliki Luas Yang Sama

Jika Panjang Pq 6 Cm Pr 15 Cm Rs 15 Cm Dan Pt 10 Cm

Harga Murah Masterblock Paving Block Tru Pave 6 Cm Mb Natural

Ex 11 2 1 Draw A Circle Of Radius 6 Cm From A Point 10 Cm Away

Flashcard Pintar Membaca 5 X 7 6 Cm Flash Card Kartu Pintar

Each Side Of A Square Is Increasing At A Rate Of 6 Cm S At What

Doreenbeads 800 Pcs 0 7mm 21 Gauge Mixed 1 6cm 1 8cm 2cm 2 2cm

Bishop Score Calculator

Pin On Then Comes The Baby In The Baby Carriage

Jika Kl 9 Cm Kn 6 Cm Dan Mp 4 Cm Maka Hitunglah Panjang

Circumference Calculator

Erdlochbohrer 60mm Bohrmaschine 6cm Akkuschrauber

Bibit Lele Sangkuriang Size 5 6 Cm Shopee Indonesia

6 Cm To Inches Howmanypedia Com

Example 3 Construct Xyz If It Is Given That Xy 6 Cm Zxy 30

Jika Bd 6 Cm Ce 8 Cm Dan Be 4 Cm Panjang Ad Adalah A

A Circle Has A Radius Of 6 Cm What Is Its Circumference Socratic

Https Encrypted Tbn0 Gstatic Com Images Q Tbn 3aand9gcqsfbt1xiurhgjorujcwpo9ouqrtdti3t K13oxkziztg64m Pb Usqp Cau

Succulent Grey Potted Plant With Pot Diameter Of Plant Pot 6 Cm

Metric Scale Ruler Online Mm Cm Km

Jual Kris Lis Profil Kayu 6 Cm Chestnut Original Ace

Area Polygon Triangle Circle Square Shmoop

Actual Size Online Ruler Mm Cm Inches Screen Measurements

Dari Sebuah Kertas Karton Yang Berukuran 6 Cm Dikali 7 Cm Akan Di

Chanel Bag Size Guide Frequently Asked Questions

6cm Ties

Chanel Bag Size Guide Frequently Asked Questions

Mencari Luas Segitiga Sama Sisi Yang Panjang Sisinya 6 Cm

Quartzo Rosa Rolado Unidade Media Entre 2 A 2 6 Cm 9 A 14g

Https Encrypted Tbn0 Gstatic Com Images Q Tbn 3aand9gcsk9mmjh3zsf8tmhlyg7icxapyifyipb8fpfjnx80m Usqp Cau

Top Kualitas Stainless Steel Sekolah 6 Inch 15 Cm Penguasa

Bsn Cutimed Sorbact Swabs 4 X 6 Cm Pembalut Luka Shopee Indonesia

Solved What Is The Length Of Ab 3 Cm 4 Cm 6 Cm Chegg Com

Mencari Tekanan Sebuah Balok Bermasa 12 Kg Dengan Ukuran 6 Cm X 5

Promo Wheel Set Fixie Lokal 6 Cm L Velg Set Fixie Lokal 6cm L Rims

New Scar Removal With Embrace Scar Therapy

Jual Produk Gantung Sekrup Gantung 6cm Murah Dan Terlengkap

Diketahui Panjang Ab 6 Cm Bc 3 Cm Be 8 Cm Dan Ae 3 Cm

Jual Kardus Box Karton Kotak Packing 13 5 X 10 X 6 Cm

Contoh Soal Dimensi Tiga Dan Jawaban Pembahasan

Pcb 6 Cm X 30 Cm Polos Fiber Chem Di Lapak Mbish Online Shop

100 Pics Cetakan Kue Pai Mini Ukuran A 7 Cm B 6 5 Cm C 6 Cm

Daftar Harga Paving Block Per Meter 2020 Diskon S D 40

Https Encrypted Tbn0 Gstatic Com Images Q Tbn 3aand9gcsv6afzhc2rv0knf1mou7gpkrql674tx5agxgkugen54ezd I5j Usqp Cau

Inilah 6 Model Paving Block Yang Menjadi Primadona Di Indonesia

Media Filter Pasir Silika Batu Silika 3 6 Cm Www

Mini Craft Clogs 6 Cm 2nd Choice Wooden Clogs To Craft

4 Easy Ways To Measure Centimeters With Pictures

Https Encrypted Tbn0 Gstatic Com Images Q Tbn 3aand9gcrb Gznotvw2byxixvmrfp7rsujgtkj0r4tvsht8hxbafpixbuu Usqp Cau

Rumus Balok Rumus Volume Balok Dan Rumus Luas Permukaan Balok

Jual Baterai Universal Ukuran Panjang 6 Cm Lebar 5 Cm 3 Kabel

Jual Spon Bedak Tabur Lebar 6 Cm Warna Coklat Jakarta Pusat

Number And Bar Scales Scale Maps And Plans Siyavula

Small Tattoo Length About 6 Cm Tattoos Small Tattoos

Jual Box Kue Lapis Imlek Kecil 20 Cm X 10 Cm X 6 Cm Blanja Com

Jual Netpot Multi Diameter 4 5 Cm Sd 6 Cm Net Pot Nft Hidroponik

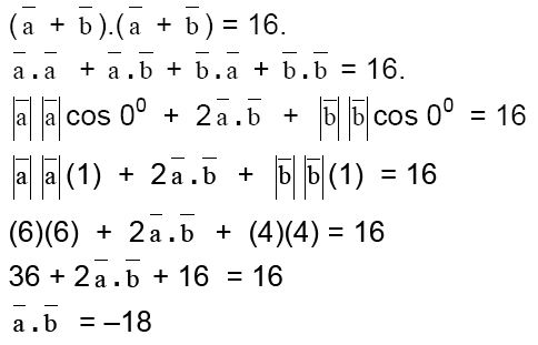
Perkalian Skalar Dua Vektor Materi Lengkap Matematika

Chanel Bag Size Guide Frequently Asked Questions

Cervical Dilation What It Is And How Long It Takes Madeformums

Jual Pharmed Keloplast Plester Silicon Penghilang Keloid 5 X 6 Cm

Sticker Logo Apple Satuan 6 Cm Stiker Wall Decal Laptop Kaca Mobil

Actual Size Online Ruler Mm Cm Inches Screen Measurements

Ex 11 1 5 Draw A Triangle Abc With Side Bc 6 Cm Ab 5 Cm Angle